文库 基础教育 中考专题 数学

知卷精品:2023年四川省宜宾中考数学真题 (含解析)(1)

全国通用 2022-2023学年 中考 数学 真题 DOCX   51页   下载0   2024-06-01   浏览369   收藏0   点赞0   评分-   10704字   免费文档
温馨提示:当前文档最多只能预览 3 页,若文档总页数超出了 3 页,请下载原文档以浏览全部内容。
知卷精品:2023年四川省宜宾中考数学真题  (含解析)(1) 第1页
知卷精品:2023年四川省宜宾中考数学真题  (含解析)(1) 第2页
知卷精品:2023年四川省宜宾中考数学真题  (含解析)(1) 第3页
剩余48页未读, 下载浏览全部
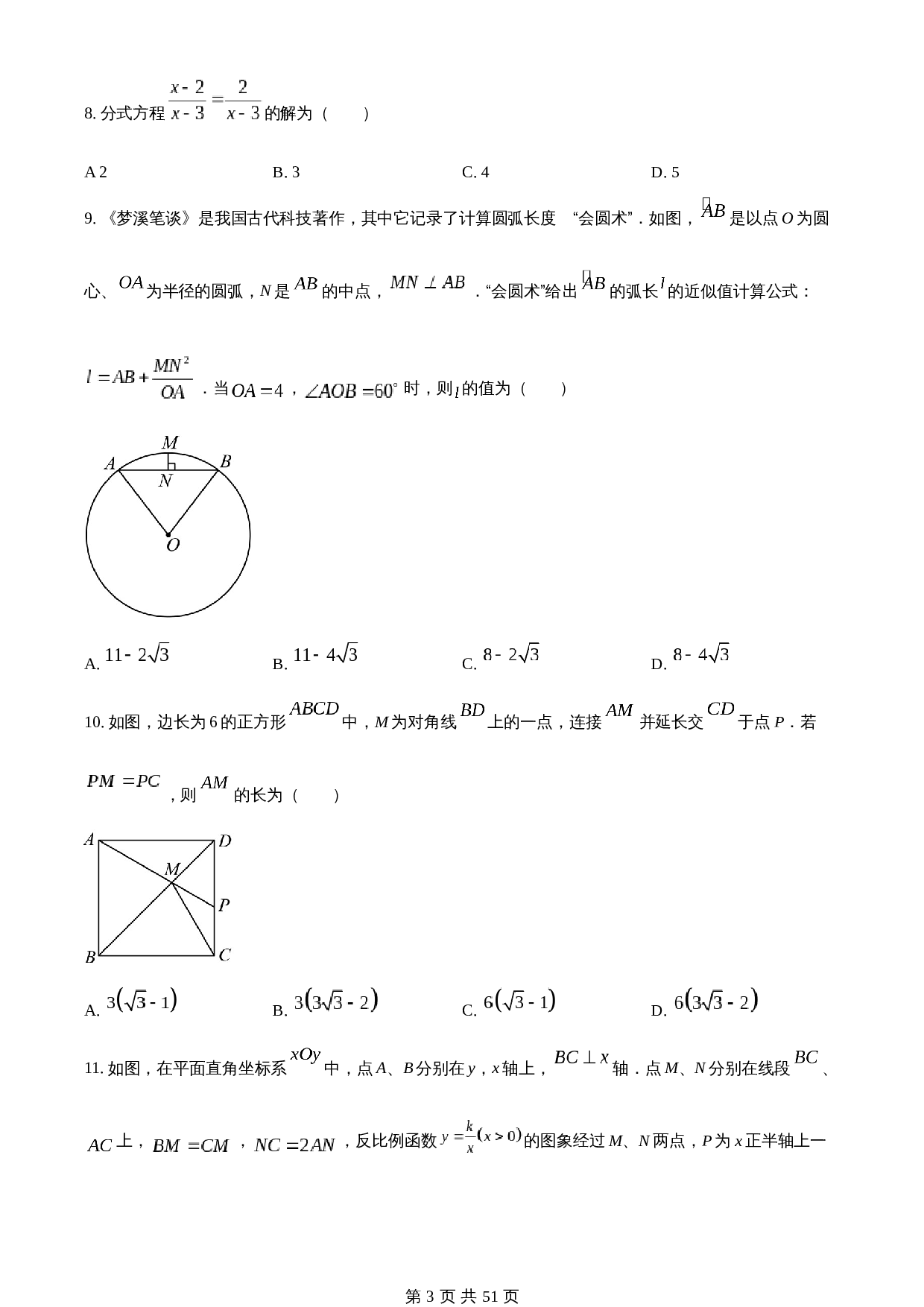
宜宾市 2023 年初中学业水平考试暨高中阶段学校招生考试 数学 (考试时间: 120 分钟,全卷满分: 150 分) 注意事项: 1 .答题时,务必将自己的姓名、座位号,准考证号填写在答题卡指定的位置并将答题卡背面座位号对应标号涂黑. 2 .答选择题时,务必使用 2B 铅笔将答题卡上对应题目的答案标号涂黑,如需改动,用橡皮擦擦干净后,再选涂其它答案标号. 3 .答非选择题时,务必使用 0.5 毫米黑色签字笔,将答案书写在答题卡规定的位置上. 4 .所有题目必须在答题卡规定的位置上作答,在试卷上答题无效. 一、选择题:本大题共 12 个小题,每小题 4 分,共 48 分.在每小题给出的四个选项中,只有一项是符合题目要求的,请将正确选项填涂在答题卡对应题目上. 1. 2 的相反数是( ) A. 2 B. - 2 C. D. 2. 下列计算正确的是(  ) A. B. C. D. 3. 下列图案中,既是轴对称图形,又是中心对称图形的是(  ) A. B. C. D. 4. 为积极践行节能减排 发展理念,宜宾大力推进 “ 电动宜宾 ” 工程, 2022 年城区已建成充电基础设施接口超过 8500 个.将 8500 用科学记数法表示为(  ) A. B. C. D. 5. 如图, ,且 , ,则 等于(  ) A. B. C. D. 6. “今有鸡兔同笼,上有三十五头,下有九十四足,问鸡兔各几何”是《孙子算经》卷中著名数学问题.意思是:鸡兔同笼,从上面数,有 35 个头;从下面数,有 94 条腿.问鸡兔各有多少只?若设鸡有 只,兔有 只,则所列方程组正确的是(  ) A. B. C. D. 7. 如图,已知点 在 上, 为 的中点.若 ,则 等于(  ) A. B. C. D. 8. 分式方程 的解为(  ) A 2 B. 3 C. 4 D. 5 9. 《梦溪笔谈》是我国古代科技著作,其中它记录了计算圆弧长度 “会圆术”.如图, 是以点 O 为圆心、 为半径的圆弧, N 是 的中点, .“会圆术”给出 的弧长 的近似值计算公式: .当 , 时,则 的值为(  ) A. B. C. D. 10. 如图,边长为 6 的正方形 中, M 为对角线 上的一点,连接 并延长交 于点 P .若 ,则 的长为(  ) A. B. C. D. 11. 如图,在平面直角坐标系 中,点 A 、 B 分别在 y , x 轴上, 轴.点 M 、 N 分别在线段 、 上, , ,反比例函数 的图象经过 M 、 N 两点, P 为 x 正半轴上一点,且 , 的面积为 3 ,则 k 的值为(  ) A. B. C. D. 12. 如图, 和 是以点 为直角顶点的等腰直角三角形,把 以 为中心顺
知卷精品:2023年四川省宜宾中考数学真题 (含解析)(1)
下载提示

1、部份EXCEL表格预览的图片显示不整齐,是文件比较宽,系统生成预览图片时分割成A4打印大小所致,文档并没有问题,可以正常下载;

2、如果首次下次不成功,可再次下载。本站同一份资料不重复扣费;

3、如果浏览器启用了拦截弹出窗口,此功能有可能造成下载失败,请临时关闭拦截;

4、如果是资料包下载后请先用解压软件解压,再使用对应软件打开。软件版本较低时请及时更新;

5、资料成功下载后不支持退换,如发现资料有严重质量问题 【点此反馈】,如果属实,我们会补偿您的损失;

6、如果下载使用过程中还遇到其它问题可以到【帮助中心】查看解决方法;

7、最终解释权归本站所有,如有需要请与客服联系或【点此反馈

QQ
微信
小程序
客服